Nyquist-WDM PM-16QAM Transmission System

Tool Used: OptSim

One of the ways to satisfy the increasing demand for channel capacity is to employ spectrally efficient multi-level modulation formats. A number of studies [1-3] and field trials have shown terabits per second and higher speeds using WDM-based superchannels. This application note is based on Reference [1] and demonstrates a back-to-back Nyquist-WDM PM-16QAM system with nine channels each at 240Gbps.

The OptSim project layout is shown in Fig. 1.

OptSim project layout | Synopsys

Figure 1. OptSim layout of the 30GBaud Nyquist WDM superchannel system

The layout consists of nine PM-16QAM transmitters, each acting as a subcarrier of the superchannel. The spectrum of the superchannel is shown in Fig. 2.

Each of the transmitters operates at a symbol rate of 30GBauds. The channel spacing, 1.1 times the symbol rate, is close to the Nyquist limit and hence the name "Nyquist WDM." On the receiver side, 90-degree hybrid model is followed by eight photodiodes (four pairs), trans-impedance amplifiers (TIA), Bessel filters, electrical dispersion compensation (EDC), training-sequence based receiver and BER counter. Close to 76000 bits are transmitted. A parameter scan is performed to obtain BER vs. OSNR curve.

Superchannel spectrum with nine subcarriers | Synopsys

Figure 2. Superchannel spectrum with nine subcarriers

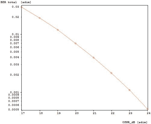
Click on the "Scan" button to perform the parameter scan. The plot of BER vs. OSNR is shown in Fig. 3.

BER vs. OSNR for one of the channels | Synopsys

Figure 3. BER vs. OSNR for one of the channels

This application notes demonstrated that OptSim’s time-domain split-step engine is ideally suited to study complex, spectrally efficient, high-speed coherent systems with large number of transmitted bits for actual counting of errors.

References:

1 E. Ghillino, V. Curri, and A. Carena, "Raman-assisted transmission of Nyquist-WDM PM-16QAM channels at 240 Gbps on pSCF," Proc. Of 13th International Conference on Transparent Optical Networks (ICTON), 2011, pp. 1-4.

2 G. Bosco, V. Curri, A. Carena, P. Poggiolini, and F. Forghieri, "On the performance of Nyquist-WDM Terabit superchannels based on PMBPSK, PM-QPSK, PM-8QAM or PM-16QAM subcarriers," IEEE/OSA Journal of Lightwave Technology, vol. 29, no. 1, pp. 53-61, 2011.

3 V. Curri, A. Carena, G. Bosco, P. Poggiolini, and F. Forghieri, “ Nonlinear propagation of 1Tbps superchannels based on 240Gbps PM-16QAM subcarriers on PSCF with hybrid Erbium/Raman amplification” Proc. of European Conference on Optical Communication (ECOC), 19-23 Sept. 2010, Paper P4.11

ASK SYNOPSYS
BETA
Ask Synopsys BETA This experience is in beta mode. Please double check responses for accuracy.

End Chat

Closing this window clears your chat history and ends your session. Are you sure you want to end this chat?